穿透科普
修改于2021/08/12933 浏览攻略

绘马3%伤害增加的相模坊,打第七章后的真相后主线。
单消未暴击时理论127.921365,120物穿后实际107,造成0.83645136213伤害
单消暴击理论217.4663205,120物穿后实际175,造成0.80472231101伤害
每50减抗,单消分别是175-180-185-191-196-203-208
双消269-277-285-294-320
已有120物穿,175增加50减抗后造成伤害提升2.29920660289,即180
剩下的几个数据,185-191这些,因为数据四舍五入,所以可能不准确。也就是说,面对第七章后的第一波敌人,大概每50减抗能提升2.3%伤害,后续衰减也可能保持在2%左右。
单消未暴击时理论127.921365,120物穿后实际107,造成0.83645136213伤害
单消暴击理论217.4663205,120物穿后实际175,造成0.80472231101伤害
存在爆伤减免。
樒奥义减抗收益
1747
1905,提升了9%
2095,提升了10%
11620
12157,提升了4.6%
13395,提升了10%
武士没有基础穿透。
穿透收益仅次于伤害增加和爆伤加成。
第七章前试炼最后一关,第一波敌人抗性比59级鸨羽的穿透高,减免了12.7%伤害。
数据有误,待测。
一.
通过测试光国等武士的普攻伤害得出,普攻伤害相当于攻击力的15%左右。
那么理论上,
1级70攻击的sr卡戎,普攻伤害是:10.5
1级58攻击的sr长能,普攻伤害是:8.7
实际上,
卡戎和长能都只造成了3点伤害。
敌人的物抗减去了71.429%的伤害;
法抗减去了65.517%的伤害
二.
随着卡戎与长能的等级提升,对同一敌人,造成的实际伤害与理论伤害之比的值越来越高。
用不同等级的光国测试得出,不存在等级压制。(后期pve敌人存在伤害减免)
也就是说,卡戎和长能的穿透,随等级提升而提升。

敌人双抗带来的减伤越来越低,甚至能达到负数。

攻击接近的情况下,低等级光国仅造成172点真伤,而高等级武士能造成319伤害。
由此可见,武士具有非常高的成长穿透。
三.

四.50级的一刀斋测试
带36物穿的武器,造成270伤害
不带36穿透的武器造成275伤害


即

(以下有误)


用1级的周做测试,
装备上带有36物理穿透时,造成了17点伤害;
同一件装备,不带有36物理穿透时,造成了13点伤害
然而每点穿透带来的收益绝不是(17-13)/36
穿透收益是线性收益,存在收益递减。

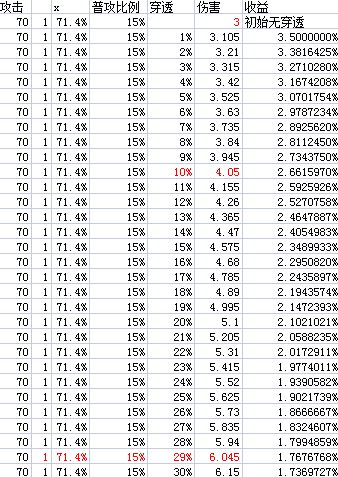
可以看出,没有36点物理穿透时,周已经具有5%的初始穿透;增加36点物理穿透后,周的穿透达到了15%
四.

这36点物理穿透,让1级的周增加了29.79%的伤害。若再增加36点物理穿透,则再次提升22.95%的伤害。
60有(59*3.6+18)/3.6=64%穿透

敌人抗性越高,穿透收益越大。
五.
综上所述,36点穿透收益约为1.5%
次于3.24%伤害增加。
数据可能有偏差,重点在于科普穿透。



