【元亨利贞 大吉大利】星河法—双仙、图板与木轮石板三种组合分析(世界向)
精华2021/08/164230 浏览攻略发布区
前言:我的勇者2.0版本更新后,由于世界boss入场前会清除角色所有临时buff,业火的叠层要重新计算加上赌狗的不确定性,这里很难给出一个绝对的答案,以下仅对赌狗期望值层数的收益进行分析,且仅是部分变量理想条件下的对比。

所有分析基于以上公式。
------------------------------------------
目录
一、2.0版本携带焚天收益
二、实战中影响c位的额外收益
三、技能伤害加成与总伤害加成收益的具体分析
四、木轮石板组合与图板组合对比(爆伤与属攻的阈值)
五、实战提伤小技巧
------------------------------------------
一、2.0版本携带焚天收益
46cd依然是最佳选择

值的注意的是,泪石层数也会在boss进场时清除
二、实战中影响c位的额外收益
三三牧:
技能神圣审判搭配符文三件套:20全伤
技能赞美诗:12全伤
技能神圣祈求:20.9全伤
技能光芒冲击搭配阿米武器加魂卡:15全伤
无用头巾:20全伤
神佑项链:15全伤
领域法:
技能冰域寒芒搭配冰域之匙:10技能伤害 10水元素伤害
武器鸡炮:15技能伤害
真言忍:
武器排球:10全伤
总计:112.9全伤(为了方便计算,下面算作113全伤) 25技能伤害
三、技能伤害加成与总伤害加成收益的具体分析
双仙套稳定增益
平头发型:30全伤
秘能披风加奇形异履:45技能伤害
树叶外衣:15全伤
技能元素之智:45技能伤害
天赋施放技巧:9技能伤害
宠物羁绊:12技能伤害
总计:45全伤 111技能伤害
实战中稳定的收益:158全伤(系数2.58) 136技能伤害(系数2.36)
实战中我们还会吃到天赋摄取:释放技能后,技能伤害提升15,持续两秒
以下是具体分析
开场有五秒入场动画,所以仙王在战斗开始第五秒爆发

图板稳定增益
平头发型:30全伤
噬灵者:25全伤
树叶外衣:15全伤
异色长靴:25技能伤害
藏宝图•宝:60全伤
封魔石板•魔:60技能伤害
魂卡莫拉格斯:10技能伤害
技能元素之智:45技能伤害
天赋施放技巧:9技能伤害
宠物羁绊:12技能伤害
总计:243全伤(系数3.43) 186技能伤害(系数2.86)
以下具体分析

可以看出在技能伤害与全伤收益中图板确实超过了双仙(图板收益超过双仙这里不存在争议,下面就不做对比了)
木轮石板稳定增益(因为吞蓝宝石涉及攻击强度,这里选择缴械套)
平头发型:30全伤
秘能披风加奇形异履:45技能伤害
树叶外衣:15全伤
封魔石板•魔:60技能伤害
刃牙之环•技:40技能伤害
技能元素之智:45技能伤害
天赋施放技巧:9技能伤害
宠物羁绊:12技能伤害
天赋摄取:15技能伤害
总计:158全伤(系数2.58) 226技能伤害(系数3.26)
因为赌狗的不确定性,这里仅选择赌狗在到达期望值之后断掉的情况

可以看到全伤与技能伤害收益是低于双仙与图板组合的。(但是木轮石板组合会多风箭炎镰组合的属攻与爆伤收益)
四、木轮石板组合与图板组合的对比(爆伤与属攻的阈值)
首先以图板组合为对照可以确定几个变量
1、武器伤害(这里取平均值)
图板组合:主手藏宝图•宝 283.5(技能基础伤害1576.225)
木轮石板组合:主手刃牙之环•技275.5(技能基础伤害1557.425)
2、(1+技能伤害加成)(1+总伤害加成)
图板组合:平均12.941962
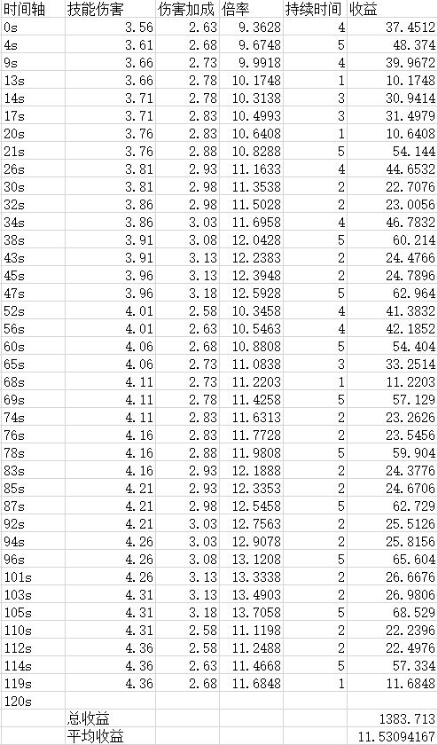
木轮石板组合:平均11.53094167
3、首领伤害(最大值)
图板组合:183.1(系数2.831)
木轮石板组合:184.3(系数2.843)
4、(1+水属性攻击/700)(1.5+暴击伤害/100)(组队狼星盘提供水属性攻击150,血瓶平均提供水属性攻击243.3333。忍者提供50暴击伤害)
图板组合:(1+(面板水属性攻击+393.3333)/700)(1.5+(面板暴击伤害+50)/100)
木轮石板组合:(1+(面板水属性攻击+643.3333)/700)(1.5+(面板暴击伤害+100)/100)
所以图板组合最终伤害=(1576.225)(攻强系数)(1+(面板水属性攻击+393.3333)/700)(1.5+(面板暴击伤害+50)/100)(12.941962)(元素伤害系数)(2.831)(易伤系数)
木轮石板组合最终伤害=(1557.425)(攻强系数)(1+(面板水属性攻击+643.3333)/700)(1.5+(面板暴击伤害+100)/100)(11.53094167)(元素伤害系数)(2.843)(易伤系数)
假设我们图板组合面板暴击伤害为500,木轮石板组合面板暴击伤害也为500,当属攻等于3386时,两者收益相同。(属攻高于3386时图板组合收益更高)
假设图板组合面板暴击伤害为600,木轮石板组合面板暴击伤害也为600,当属攻等于2772时,两者收益相同。(属攻高于2772时图板组合收益更高)
当然这里仅限赌狗在到达期望值十二层之后重置的情况。(考虑到组队会有阿狸提供属攻爆伤,这里的阈值会更低一些)
总结:目前有好用的猎人套可以使用木轮石板组合,但是宝石系统上线之后,木轮石板组合会越来越疲软,总之按照自己面板来选择搭配不会错。
五、实战提伤小技巧
本来想着分析实战中属攻与爆伤的收益,但是考虑到组队会有阿狸辅助就不具体分析了,这里只捡双仙爆发与邪神宠物实战收益分析。
双仙实战中技能伤害与全伤收益

根据仙王爆发时间使用邪神宠物水攻与爆伤的收益(根据我自己面板取的值)

实际操作(技能伤害系数)(总伤害加成系数)(水属性攻击系数)(暴击伤害系数)的收益

可以看出,在仙王爆发期间使用邪神会比平均收益高3%左右,同理,根据赌狗期望值与世界战中邪神有20秒的空挡时间,如果时间允许高技能频率带赌狗的可以在赌狗十层左右使用血瓶,这样收益更高。
今天的分享就到这了![[嗒啦啦2_期待]](https://img-tc.tapimg.com/market/images/4586b6e33f74e054079a0d9aaed70aee.gif)
![[嗒啦啦2_期待]](https://img-tc.tapimg.com/market/images/4586b6e33f74e054079a0d9aaed70aee.gif)
![[嗒啦啦2_期待]](https://img-tc.tapimg.com/market/images/4586b6e33f74e054079a0d9aaed70aee.gif)
![[嗒啦啦2_期待]](https://img-tc.tapimg.com/market/images/4586b6e33f74e054079a0d9aaed70aee.gif)
![[嗒啦啦2_期待]](https://img-tc.tapimg.com/market/images/4586b6e33f74e054079a0d9aaed70aee.gif)
![[嗒啦啦2_期待]](https://img-tc.tapimg.com/market/images/4586b6e33f74e054079a0d9aaed70aee.gif)


