破密系列-真正的手雷
修改于2022/12/07775 浏览综合
文包含大量理论知识与游戏相关设定,可能比较晦涩难懂,希望可以为各位玩家带来帮助,也欢迎各位愿意研究的玩家一起留言讨论。
文章结尾有联系方式
🌟爆炸条件
手雷爆炸条件奠定了手雷的基础,但是知识点简单易懂,又不懂得玩家看一图流即可:
这里不多做赘述
🌟爆炸范围
以完美投掷为例, 以手雷为圆心,半径相切左下方块中心以及右下方中心。
设一个方块的宽度为 x,通过勾股定理可以算出爆炸范围无限接近或等于半径公式
注:由于无法精准投掷出“完美投掷”,所以无法确认爆炸范围的具体范围,完美投掷处于假设。
🌟测试设备
测量手机为(华为荣耀 9X 分辨率2340*108)
🌟手雷抛出路径
从图中可以看见,一个在空中的角色使用手雷时候的抛物线,在背景的影响下我们不能客观的表示出手雷的投掷路线。
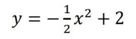
以背景格子一个宽度为单位时(约等于一个身位),我们把内容放在一个平面坐标系,Y 轴设立在抛物线的最高点,X 轴为地板水平面。蓝色为人物碰撞箱,紫色为手雷起始点,绿色为手雷路线,单位长度为 12.4mm。值得注意的是,手雷是以角色中心线右一个单位的位子为起点(约同与子弹射击位子)
从图中可以手雷的行进路线很好理解,在扔出约第三个身位达到最高点,通过带入顶点(0,3)以及x 交点 (1.3,0),(-1.3,0)得出
抛物线
在向上以及向下抛手雷时,手雷的落地翻滚距离因水平分速度、垂直分速度国小过大都无法翻滚最远距离,只有在水平投掷时可以滚翻较远。手雷落地翻滚距离为一个新抛物线,其抛物线值不超过原抛物线最高值。手雷落地翻滚势能继承占比可以通过公式算出
能力继承率
X → 手雷扔出时(紫色点)为原点的-y值
C →最小继承例
*x 值为 0 时,为最大继承率
*y 值越大,手雷继承率越大
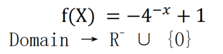
🌟手雷反弹轨迹
手雷反弹路径为单独独立函数,不受角度、距离、受击角度等影响。会按照统一速度沿着相同的路径反弹。(攻略做到这里有一点点失望,一开始测试时以为不会这么简单)
以肉眼观察可以发现手雷在 y=-3 时,x 值约等于- 1。且通过实践发现 x 值不超过-2,由此判断出函数在 x 等于-2 处拥有渐进线。代入数值推算出手雷反弹路径
X → 手雷在空中的时间通过测试得出手雷在 y小于-3(翻滚距离小于 1 格)时,在接触地面后不会立刻爆炸。而是遵守手雷能量继承率,进行超小距离翻滚。因翻滚距离过小可忽略不计。在手雷爆炸条件的影响下,在低抛时会因为未满足爆炸条件而停留一段时间。
🌟结语
终于写完了呢,从一开始抽象的理论到后来的 Ai 做图,Ae 做小动画也是学会了好多新知识。如果你看到了这里真的非常感谢你的支持,若文章有任何有待改进或不准确的事情欢迎随时联系我。 本文采用 CC BY-NC-SA 4.0 许可协议,转载请注明出处。
作者:MuLiChFe
QQ:1705074492


