(记录贴)两个月的红票历程
2022/12/14629 浏览喵了个猫
入坑三个半月了,两个月前才意识到要刷主角团的天冥,渣猫提不上兴趣,就刷妹妹的冥了
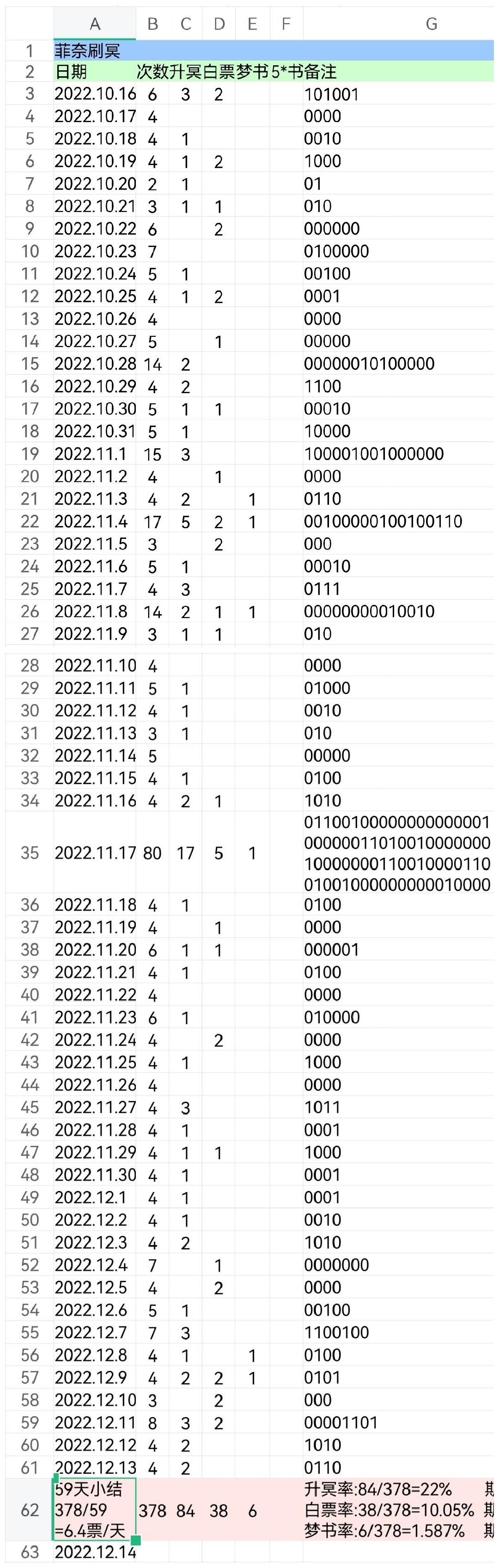
总体来说升冥率白票率梦书率略高于期望(难怪抽卡这么黑)(备注里的0代表没举手1代表举手,按刷本与举手对应依次计数)
顺便记录游戏进度(未完成):
隐王:苏菲,炼狱兽(45e只打了弱水)
回生:火回生ex4
外传点数:ida3,魔剑2,龙宫2,遮天塔,p5r2
钓鱼(鱼妹已出)
猫战(差lv90四天王)
持有:144
天冥前三:奈岐(201)琪路莉露(172)稻草人(163)
目前已经咸鱼养老了(另开了一个囤钻小号玩),持1w免费等下午的泰坦妹,1次十连出了泰坦妹就把我的囤钻小号全抽了,没出我怕是要上头氪金了。
虽然入坑猫游的时间不久,但是是我有史以来最喜欢的一款手游,希望猫游越做越好吧。
![[嗒啦啦4_比心]](https://img.tapimg.com/market/images/d28961d9ef2d62e62333b8d17a8612dc.gif)

