【我的勇者】山崩地裂昆仑倾,风云骤变星亦沉 锤战心得
精华修改于2020/08/117386 浏览攻略发布区
近期锤战整体构筑变化较大,论坛上也找不到满意的数据型攻略,所以重写攻略,部分结论直接沿用老攻略,老攻略讨论过的问题不再讨论,有问题建议直接提出,避免误人子弟。文末放出老攻略链接。
武器选择

(神圣祈求(20%)+神圣审判(20%)+光芒冲击(15%)+吞蓝(25%)+赌狗(30%)+喋血(40%)+狂战盛怒(10%)+平头(30%)+河豚(10%)+无用(20%)+神佑(15%)=235%,其他并不复杂,不算了)
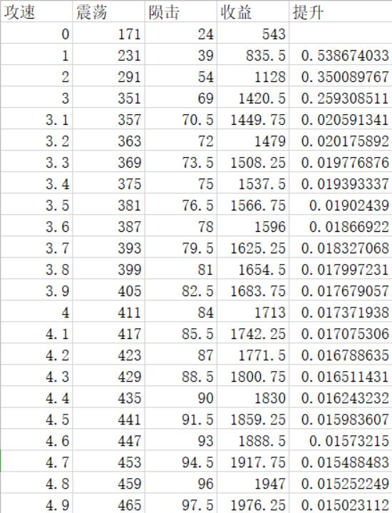
因为要考虑娃娃的攻速问题,所以牵扯到一个之前我没有解决的问题。锤战的攻速收益到底如何计算。陨击和余震有体积问题。这个是用数学方法难以计算的,所以我决定使用笨办法,直接打桩。

这是单次主动释放震荡(100的专伤,在800能量效果面前过于DD,我都懒得算了)

这是单次主动释放陨击
上面都是我在5件套情况下使用的技能不触发400、800能量效果。我们可以利用这个算出伤害比例,陨击:震荡=342:22=15.5:1。有了这个伤害比例,我们再把使用技能的总次数做出来。根据比例套入就可以看到攻速带来的收益。然后我得到了这张表格。

这里顺便把我上一个帖子讨论的攻速问题平移过来,方便大家理解。
主动情况下,锤战冷却缩减一般都需要堆到45%,所以我们这里也按这个数据算。主动震荡冷却时间是10秒,配合45%的冷却缩减是5.5秒,再配合法师冷却就变成了3.5秒如此算来一分钟可以释放17.14个主动震荡因为主动震荡会释放10次所以最终结果是171.4次,主动陨击更加复杂,自身冷却时间20秒,配合45%的冷却缩减是11秒。但是精髓来了。

发动震荡可以减少陨击一秒的冷却时间。锤站有无数种方法触发六件套的震荡,所以我选择实地测量。测量结果是一分钟放了24个,实际测量会有一个左右的误差但就按这个算。由于实战中影响伤害的因素太多了,所以为了方便计算,***脆抹个零头。
关于有人说攻速影响赌狗的问题,我认为是不影响的。攻速低触发少,来得慢去得也慢;攻速快也是一样的,触发多了来的快去的也快,并不能说攻速快了以后你就可以趁系统不注意跳过结算。
万事俱备,我们可以开始计算双仙和传统的河豚娃娃流差多少。
15561/14300-1=0.08818182
双仙和娃娃面板伤害高了8.8%的样子
然后我们计算我测试环境下河豚的攻速
河豚1.3+久战0.4+灵巧0.6+血戮0.45+魂卡副属性0.05+牧师0.7=3.5
3.5*1.3=4.55
所以带上娃娃的最终攻速是4.55,为了方便计算,也是给双仙一个机会,我把这个0.05抹掉,现在是4.5。
(1917.75/1566.75)-1=0.224
所以娃娃的实际加成居然高达22.4%,看来锤子还是摆脱不了娃娃。
也因此可以得知传统的河豚娃娃比双仙或者单仙更强。
然而这过于反常识,有待实战验证。
反馈:1.仙王的主手攻速较娃娃高0.2。答:0.2就算是担心娃娃提升大约是0.26,对比表格可知0.26实际加成大约在3%左右,跟河豚娃娃的14%实际优势比起来还是不够看。
技能

4个技能基本没有争议。
防具

符文有超高回蓝。没有争议。

不是罚站职业而且战士不能穿孤儿甲,没有争议。

一秒一层狗而且符文会提高元素伤害,没有争议。

因为河豚可以触发久战,所以头部肯定是平头,单人看自信回血,组队靠牧师法阵
然后再来讨论一下经典的饰品带什么,下面挨个分析。
从最简单的神树开始

能量取最常见的1310也就是套8加两个115,基本属于有手就行。河豚+真言再提供25%。因此元素的预期系数我认为是2.56
因此神树的预期收益是0.2/2.56=7.81%
然后是狂气

狂气搭配娃娃的预期攻速提升是0.3*1.3=0.39,算上蚊子腿的伤害,四舍五入就当时是0.4,带入我上面给出的收益表格可以自己得出答案。按我上面推算的3.5,收益大概在6.2~6.1%的样子。
无厌

在研究无厌的时候,不仅仅只能研究效果带来的收益,还要考虑扔掉一个暴击值带来的提升。因此我们需要明确一下无厌的副属性
大部分情况下的理想副属性是暴击值、属性攻击、穿透。5%的暴击率提升足够把暴击值的53换成暴击伤害。根据玄霄计算的12+层猪狗预期值,所以实际提升的暴击伤害大约是28。
然后计算收益,暴击伤害取363(含冷血)0.28/5.131=5.46%
但是5%的暴击率实际收益上往往会高于53暴击值,所以在非满爆情况下,大家仁者见仁智者见智。
得出结论:“神树,永远滴神”
然后讨论胸甲,主要是两种选择,树叶和久战,一般默认久战,所以这边讨论一下为什么树叶不如久战。

根据前面计算结果,不考虑任何可调整的部位,基础的全伤加成为235%,系数为3.35。
0.2/3.35=5.97%,按之前算的狂气收益都比树叶高,更别说攻速更高的久战了。
武器洗练
锤子的争议点基本上在锤子是木攻还是首领。
这个问题先明确一下每个词条

木攻系数:240/700=0.343
首领系数:26.3/100=0.263
你看起来木攻系数很高,然而木攻的稀释也高。根据上面的武器搭配表格,我们来算一下稀释情况。
木攻收益:0.343/(2288+700/700)=8%
首领收益:0.263/(0.369+0.363+1)=15.18%
所以锤子还是洗首领更好一些。
推荐上
河豚:穿透、首领、木攻
娃娃:穿透、首领、木攻
锤子:穿透、首领、暴击值
关于娃娃木攻还是爆伤的事情,需要根据自己的实际情况进行调整,不在本攻略讨论范围之内。
所以个人向的装备推荐是这样的。

魂卡
cost上限提升后太灵活了。虽然目前论坛人均63C,但是作为一名人下人,我也只能讲几个搭配的关键点。
1. 保持暴击率,在大师+血戮的情况下需要389点暴击值满暴,这个非常重要。
2. 关于大眼要不要换克总,我们得算一算。35级30级强化的胸甲攻击强度是212,5C防具卡对应108%基础攻击,7C防具卡对144%的基础攻击。212*36%=76.32,四舍五入76,但事实上装备的狗男女以后防具卡是填不满的,完全可以再塞一只2C或者3C的防具卡。如果把大眼换克总的2C拿出来带一只像寒冰寄居蟹这样的2C卡,可以在同一个变量下进行计算。34级30级强化头部的攻击强度是186,2C防具卡可以提升51%的基础攻击。186*51%=94.84所以不算暴击伤害,大眼也明显强于克总。要换的话,还是等到64C换狗。
3. 其他卡片不多解释,为了触发能量效果,所以说CD要拉满。滚兽狗男正好,狗女木攻,顺便凑个穿透,解放小符文位置提高其他属性。
4.武器卡三爆伤,避免攻速溢出
5.副属性!!!!!!
6. 一个参考版本

辅助
标准牧忍法
完
【我的勇者】山崩地裂昆仑倾,风云骤变星亦 - 来自子藏 | TapTap 我的勇者社区
https://www.taptap.cn/topic/12675700



