本人对 phigros 的评价与介绍
修改于2025/08/29392 浏览

本人的RKS🙃
长帖预告😐
想入坑的萌新可参考🥰
Phigros 是鸽游制作的免费音游,音游爱好者值得入手👍
先叠个甲😉
本帖可能存在错误或者部分纰漏,欢迎指出 👏(全帖共 2728 字)
本人游玩了 2 个月,目前 rks13.88,是个彩笔😶
以下是关于本人对 Phi 的看法:
🎵曲库:
目前全游总共 277 首歌(3.15.0 版本,不包括以前个别版本被删除的歌曲和愚人节)算得上是非常不错了。
每首歌都有 Easy,Hard 以及 Insane 三个难度的谱面
(个别歌曲有 Another 和 Legacy 难度,以及一年一度愚人节的 Special 难度)
总之,Phi 曲库可玩性很高,总有几首歌能精准击中你的热爱🎶
🎼谱面设计:
谱面由四种 note 构成
分别是:
蓝键 Tap (点击响应)
红键 Flick(滑动响应)
长条 Hold (长按响应)
黄键 Drag (停留响应)
铺面总体来说还不错(就是初见杀有点严重)
灵活多变的判定线和四种 note 组合是这个游戏谱面最大的特色
🥳难度:
上面说到的 Easy ,Hard ,Insane 等就是游戏的难度
一般难度后面会跟着数值,如 EZ1,HD 8,IN 13 等,这就是每个谱面的具体定数。目前一共有 17 级定数(封顶是 Rrhar'il AT,定数为 17.6)
一般游戏中定数只显示定数个位数,如 Luminous Entities Lost Heart IN 定数为 15.2,但游戏中只显示为 IN 15
😙分数&准度:
每张谱面的满分皆为 100 0000
首先,关于 note 的判定有:
perfect (±80ms)
good (±80-160ms)
bad (±160-180ms)
miss (>180ms)
perfect 和 good 不会断连击,bad 和 miss 会断连击。
miss 和 bad 不会得分,good 会得 65% 的分值,perfect 则是 100%
游戏有连击分,所以在游玩的时候应该注意一下连击
不同评分结算时得到的等级不同:
F(false ):000 0000-069 9999
C:070 0000-081 9999
B:082 0000-087 9999
A:088 0000-091 9999
S: 092 0000-095 9999
V: 096 0000-099 9999
蓝V(Full combo)整首歌不断连击
φ(All perfect)不断连且每个 note 的打击都是 perfect
(100 0000)
说到得分,结算界面有另外一项数值,就是准确率(Accuracy,简称 ACC)爆 good &bad &miss 会掉 ACC😭
一般 ACC≥98.5% 就不算越级(一说 97% 或 97.5%)
🔑剧情&data :
是的,你没有看错,phigros 是有自己的故事线和剧情的
当你游玩时,有概率结算时获得收集品,通过收集品的背景可以了解游戏的剧情和故事,体验那个世界的故事
那你又会问了,data 是什么?
当你结算 Introduction (新手教程),你是否注意到了下方的[ 获得 32.00MB]?这就是 data 。data 的获取方式有两种:
一种是结算时歌曲分数≥088 0000 ,分数越高,获得的 data 越多;
另一种方式则是点开收集品的详细信息,即可获得 1.5MB
获得足够多的 data,可以购买单曲精选集中的歌曲。
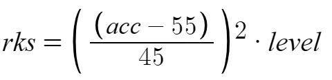
🐲RKS 机制:

RKS 计算公式
RKS 指的是 Ranking Score ,是一种衡量玩家水平的值,一般由 Best27&Perfect 3 组成。
Best 27 是一个玩家打的 ACC 最高的 27 首歌,一般会根据定数和准确率从高往下排
(计算公式详见图二)
Perfect 3 指的是 3 个最高分数的φ(一般比较难拿,新手可以练一些简单的谱,争取拿到 All perfect &Full combo )
——————————————
接下来就是主线章节的解锁方式了,不想看的可以划走了
Chapter1-4(过去的章节):
有任意 6 首歌任意难度分数达到 88 万以上,即可解锁 Chapter 5 『霓虹灯牌』
Chapter 5(霓虹灯牌):
先所有歌曲打上 88 万,然后可以任选一个条件解锁魔王曲
条件 1:尊师~The Guru ~或 Reimei 任意难度 miss+bad≤6
条件 2:NYA!!或 Cry out 任意难度全连,尊师~The Guru ~高于 88 万分
达成任一条件可解锁魔王曲 Spasmodic
之后将其打到 88 万,可解锁隐藏曲Leave all behind ,打上 A 解锁 Chapter 6 『方舟蜃景』
Chapter 6 (方舟蜃景):
先全部曲目上 A,然后打开【重生】,一个键都不打,得到一个 0 分。之后重新打开望影の方舟 six,在不碰假键的情况下打上 A,就可以解锁魔王曲 Igallta
Igallta 上A 之后解锁 Chapter 7『时钟链接』
Chapter 7(时钟链接):
全部打到 88 万以上,然后回来打【Clock paradox】当出现「钟」的异象时,不要断连,出现第二个钟时,就成功了
随后会自动跳转【Chronostasis】,上 88 万就行,接下来会跳转到【Glaciaxion】,需保持在 96 万分以上
之后解锁魔王曲 Rrhar'il,上 A 解锁 Chapter 8 『凌日潮汐』
Chapter 8(凌日潮汐):
点击 第六章歌曲 micro.wav,会自动跳转到【Crave wave】,上 S 之后点击过去的章节中的 Cereris,游戏界面就会自动跳转到歌曲【The Chariot ~REVIIVAL~】,同理,打上 S
打完后,便会弹出『你也许意识到了这件事』的提示,说明成功进入隐藏曲【Retribution】,正常打即可
接下来会自动跳转到【DESTRUCTION3,2,1】,打完全曲,页面会崩坏(这个是程序代码,不是游戏本身的问题)重启游戏即可
重启后会发现第八章封面变成了【DESTRUCTION3,2,1】的曲绘,
打开第八章后会发现第二首歌【The Chariot ~REVIIVAL~】的曲绘是倒过来的
将屏幕旋转 180°,进入【Luminescence】,打到 92 万分以上,看到烟花的时候就成功了
之后会再打一遍【Retribution】,保持背景的血条不炸掉就行
最后就是本游的主线最后一个魔王曲【Distorted Fate】
——————————————
在这里,感谢您能看到这里,希望这篇帖子能给予您帮助,谢谢😎❤️#phigros



