《九牧之野》同步器行为及异常生态打击和违规账号处理
守住公平,战场的胜负才有意义
亲爱的玩家朋友:
一直以来,《九牧之野》都希望守住战场规则的底线,把这片三国战场做得更公平、更长久。
“打击违规团控与同步器行为”上线之后,我们收到了许多玩家的支持与响应,感谢你与我们一同守护这片战场的秩序。你可以点击链接,了解违规团控与同步器行为的判定规则与处罚机制。
近期,我们收到了大量关于同步器问题的反馈和举报,我们也对这些内容进行了认真记录以及逐条核查。
在玩家朋友们的持续反馈下,我们对监测系统做了进一步完善:从异常行为识别、风险账号关联,到触发核查与处置链路,都进行了加强。
对疑似同步器、多开等异常的风险行为,我们会更快介入核查,更迅速地采取限制与处置措施,并对屡次或严重触犯“红线”的角色追加更严厉的处罚,保障战场公平。
未来针对违规团控、使用同步器、多开器等第三方非法工具等破坏游戏公平行为的管控会更加严格,相关限制也会持续加码。
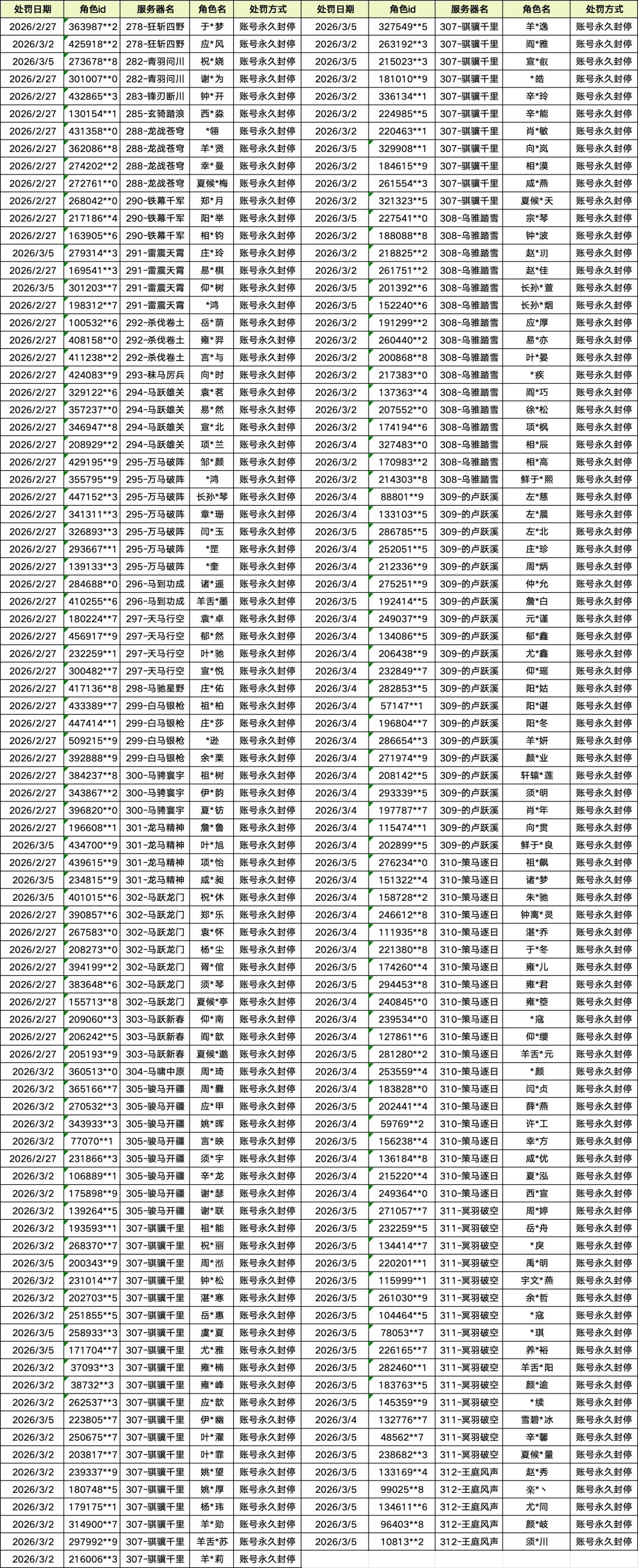
同步器行为违规账号公示
从2月28日开始,我们提升了同步器的检查力度以及处罚力度,每日持续对违规账号进行封禁处理,以下集中公示最新封禁的63例违规账号:

《九牧之野》设有长期实时运行的监测机制,对任何未经授权的第三方软件保持严肃态度,并会根据线上数据持续迭代机制规则。
一经确认违规或产生公平性影响,我们将依据违规严重程度及历史违规记录,按规则进行不同程度的处罚,严重违规或多次违规行为最高将面临账号或角色永久封禁。
黑产及其他异常行为违规账号公示
除同步器行为外,我们也在同步推进对黑产、广告联盟、异常言论等生态的治理:
- 针对黑产账号(广告、工作室),本周累计封停异常黑产账号824个;
- 游戏内异常言论账号,巡服工具、举报工具本周禁言账号2,254个,重置违规昵称15个。

部分封禁名单公示
在核查过程中,我们会进行多次辨别,并会结合人工核查来减少误判,避免对正常体验游戏的玩家朋友造成影响。
如对核查结果存在疑问,可前往【《九牧之野》公众号】-下方【联系客服】-【处罚申诉】处提交申诉,我们会尽快核实并处理。
我们始终与你站在同一阵线,共同维护一个公平、健康的战场环境。我们欢迎你积极举报异常行为,也会认真对待每一条反馈,并在后续持续公示处罚名单。
但需要明确的是:具体违规名单与最终处理结论,请始终以官方公告为唯一依据。


《九牧之野》的战场,需要对手,也需要秩序。
我们将一如既往地守护公平,让这片战场更干净、更能打。
也请所有玩家朋友珍惜自己的账号,一起远离违规工具与风险行为。
《九牧之野》运营团队

