真言的偶像必要性
修改于2021/01/122571 浏览攻略发布区
本帖将详细对于真言忍偶像克罗塞尔的必要性,职业攻略请移步主帖
在当前版本下,偶像克罗塞尔有三点优势
1. 自带魔神,补充了列拉金系不带魔女卡的现状。
2. 高贵的人族,可以较为轻易的组成羁绊。
3.高额的4星加成,20%的攻击强度在通常情况下有巨额提升。
为了方便大家后续理解,我放一张我的世界面板

现在我们开始逐条分析
1. 魔神能提供4%的首领伤害,而4%能提供多少加成呢?由于魂力、宠物让每个人的首领都有较大波动,不一定是每个人都能点满的,所以我制作了一张表格,大家可以对号入座。

我们得到了一张非常客观的表格,篇幅受限,这里放出了每次加2%的首领,每次加0.5%对比表已经在我的蓝奏云分享里了,有需要的可以自取。
2. 人族羁绊问题,问题有两个视角可以看,一个是穿透够不够,第二个是有哪些可以组成人族羁绊的卡,带上来的卡是不是人族
先看穿透够不够,我们从最常规的情况走,以3400及格/4000良好/4640优秀为标准。
根据每个人练度不同穿透也不同,所以我这边直接报答案,我在武器双穿、穿透符文全下、人族全下、魂力无穿透的情况下,穿透是可以达到3400的

所以我认为从穿透角度,偶像是完全可以被替代的
再从羁绊环境上来看,65C可以较为轻易的凑出人族羁绊,63C比较困难,需要优先满足魔物,不足的穿透需要从魂力上补,所以人族羁绊就是高C随便凑(如果有65C的财力,炎镰连这种优质替代品估计也都4星了),低C凑不出,可以弄得比较奔放
至于对比替代品,就要引出下一个问题,20%的攻击强度对于真言来说到底有多少?
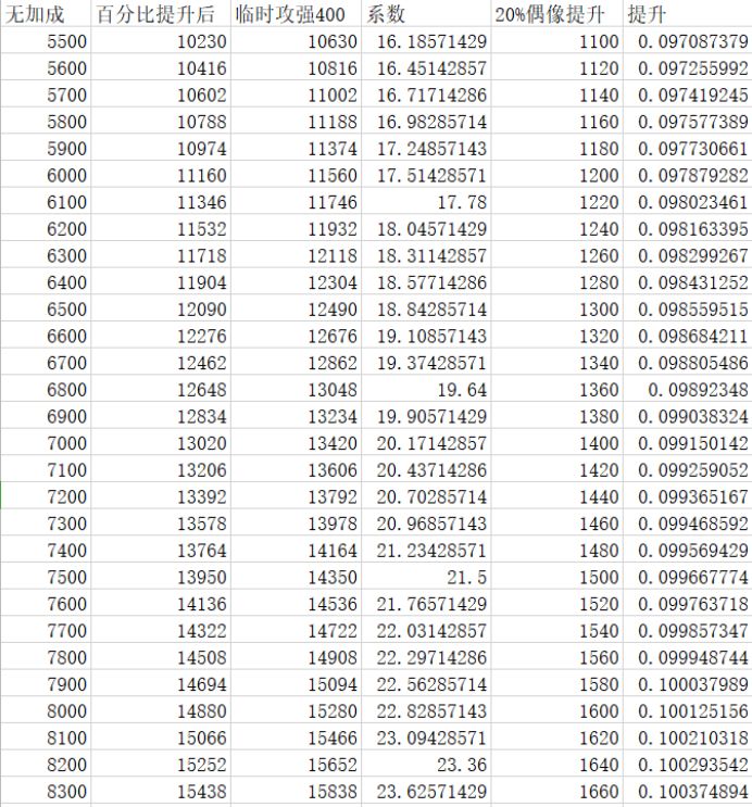
3. 由于收益问题比较个性化,因为在魂力里这东西是可以无限提升的,这里还是拉表格讨论

首先要明确到底是哪里可以提供百分比攻击强度,一般情况下由于实战不用龙牙,所以百分比强度为真言80%+地狱火烤鸡6%,此外再考虑400的救援信号临时攻强。可以得出表格:
从表格上来看其实变化幅度不是特别大,对于大多数人,大约在9.9%的样子吧
之后我们需要考虑,如果把这张卡片换成另外的卡片,它会不会有9.9%+n%魔神首领的加成?
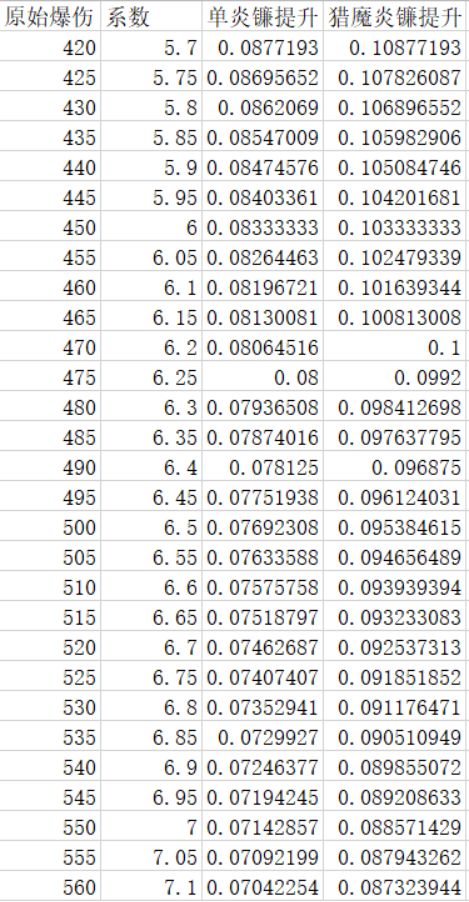
计算头号种子选手炎镰(也可以全都要)

从我自己的面板入手,偶像的实战加成应该是10.4%,炎镰实际加成9.2%,0.8%在单卡抉择上还是有一定差距的,副属性上找就比较困难。
至于像猫或者老冰女就简单算一下,
猫:20%/(神圣祈求20%+逐光之愿20%+光芒冲击15%+无用20%+赞美诗12%+排球10%+神佑15%+平头30%+吞蓝25%+致命一击5%+1)=7.35%
老冰女:10%/(真言80%+盾妹20%+符文(视个人情况而定)145%+1 )=2.9%
大师是一张非常特殊的卡片,一般来讲暴击率不足90%,暴击伤害越高,收益越高。这个比较难结合实际情况,暴击值调整是牵一发而动全身的,现身说法,讲了一个很有趣的例子,我的炎镰赌出了4星攻速→我可以不用威能符石了→威能符石换无厌→暴击率上升→大师下岗

(万恶之源)
尽管如此,大师的提升依旧是可以估计的

表格分了两种情况,其中大师前暴击率85%被称为情况1,90%被称为情况2。对比时请不要看错了。
至于4星的攻击强度效果,近期大师有一次改版,所以我们需要测一下大师的4星效果现在是临时还是固定?

首先卸载偶像,攻击强度为7484

然后我们装上一张,既没有攻击强度也没有暴击值的大师,此时攻击强度为7922
7922-7484=438
可以清楚的看到,现在的大师4星加成是能反映在面板上的
然后在此情况下,我们打开公会的地狱火烤鸡

面板显示现在的强度是8371,地狱火烤鸡提高6%的攻击强度,那到底是谁的6%呢?
7484*1.06+438=8371
大师改版后,依旧为临时攻强
计算收益

简单看一下的话,暴击率不足90%时,大师收益和炎镰55开
后记:
表格会放在蓝奏云,大家有根据自己的实际情况调整数据的想法的话,可以直接在表格里改数字,这里不讲教程了,因为你想改肯定明白这个是什么意思。


