Phigros自查b19计算器
投票修改于2025/02/097816 浏览综合
本人第一次发长贴,如有不到位的地方请多谅解!


这是文件链接:
>>>最新b19计算器链接<<<


Ⅰ)写在前面的话
本b19计算器适用人群:主要是IOS端等云存档维护的小鸽子们(其他小鸽子也欢迎使用
)。
)。鉴于phi的ios云存档仍未维护好,许多ios端的小鸽子想查b19但暂时无法通过qq频道的查分bot自动生成b19图,所以我采用了较为原始的方法用excel表手打b19的方法,来计算rks的组成以及推分途径,具体效果和查分bot应该并无太大差异,欢迎各位在评论区提出批评建议谢谢
。
。

Ⅱ)b19组成及原理
①组成
b20 =
(计入rks计算的二十首歌)
b0 +
(ap过定数最高的歌)
b19
(单曲rks最高的19首歌)
注:b0可以被计入b19
举个例子

concvssion是我的b0,仍可以被计入b19计算(作为b7)
②原理
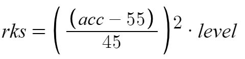
单曲rks计算公式:
单曲rks=((acc-55)/45)^2 *该首歌的定数

这里的rks指单曲rks,level指该曲定数
由此可以推出,小鸽子们在推分时可能会用到的一个公式:
(文字版公式不写了,太麻烦了
直接上图)
直接上图)
这里的acc指要求达到的准度,aim rks指期望的单曲rks,level指该曲定数
到此为止,原理部分就没了,是不是很简单![[表情_微笑]](https://img-tc.tapimg.com/market/images/0f170d4b1ecf80c267e5a44b5992a199.png)
![[表情_微笑]](https://img-tc.tapimg.com/market/images/0f170d4b1ecf80c267e5a44b5992a199.png)
麻烦的在后面......


Ⅲ)使用方法&注意事项
浅蓝色部分为选填内容(这边建议曲名必填方便校对)
浅绿色部分为必填内容!!!要不然会报错
曲名可从定数表里复制(标红为AT)!!
FC/AP、评级、定数 均可选择!!
具体使用小技巧:
①先填入b0。
②不用按单曲rks的顺序填入b1~b20,大概估计一下哪19首歌可能会进b19,直接填。
③选中b1~b20的曲名、准度、定数和单曲rks,用excel自带的排序功能,选定自定义排序->按单曲rks排序。
↓↓↓芝士功能预览↓↓↓

主表部分

小工具

可折叠の定数表
排序方法(本人录的讲解视频,有不到位请谅解):

注:实际rks的那两列是我自用的功能(我的龙比同学给我打出了我这辈子都打不出的b1,所以我现在虚高的很,想知道自己的实际rks)。
使用须知:
①自用版颜色和公开版颜色有差异,主要是因为公开版需要引导小鸽子正确填入数据。
②公开版中的”是否计入“一列不要动,b19只计算到您的b19,不计入b20,故该列填入的”✗“。该“✗”涉及贡献率的公式,请不要随意更改。


Ⅳ)最近更新
为了篇幅短一点我删去了这部分,想看更新内容的请移步>>>更新专贴<<<


Ⅴ)常见问题(会更新)
①acc部分没有%!!!没有%!!!没有%!!!
②旧版b19计算器数据迁移到新版(3.0->4.0)只需要将曲名和准度复制即可,新版定数可以选择,之前使用过旧版(3.0及以前版本)的也可将定数复制过去,不会影响计算。曲名可从自带的定数表中复制,定数表会更新。
③b19计算器中算出的rks含四位小数,phigros中的实际rks为四舍五入后的结果(小数点后第三位低四舍五入到小数点后第二位)。若四舍五入后仍与游戏内rks存在差异,不是误差!不是误差!不是误差!请检查您填入的b19是否正确(填错歌/填错acc/选错准度),可以使用小工具来检查ο(=•ω<=)ρ⌒☆
④蓝色选填部分不会影响各种计算。


Ⅵ)写在最后
我不知道在如今查分bot如此便捷之下还会有多少小鸽子看到我这个贴,但是我相信本贴对于ios的小鸽子们肯定不失为一种查分的选择。我知道在不久的将来,云存档维护好之后,传统的手打b19查分会被取代,被遗忘,但是我还是想坚持做好它。我想,这可能就是我对于音游最质朴的热爱吧......最后!祝鸽游越来越好!小鸽子们推分顺利!也祝我能保持这这份宝贵的热爱带我一路前行!!


最后一次修改:2024/07/26 16:43
给b19计算器打个分吧![[表情_开心]](https://img-tc.tapimg.com/market/images/48516f625646b5ea2c66f0cab3c9c52a.png)
![[表情_开心]](https://img-tc.tapimg.com/market/images/48516f625646b5ea2c66f0cab3c9c52a.png)



