桑朵莱希的一些简单讨论(作者:聊以行国)
精华2024/09/28745 浏览攻略
桑朵莱希的一些简单讨论(作者:聊以行国)
3.5 桑朵莱希
3.5.0 前置说明与技能固键图



1. 本文为https://gf2-bbs.sunborngame.com/threadInfo?id=38&hash_flag=2第三大节中具体计算的第五位人形,
2. 本文的计算中将默认相关人形点满了所有心智螺旋点位并携带了自身的共键,但不携带其它共键;默认人形和武器都是满级60级的。
3. 默认假设敌方有三个随机的武器弱点+两个随机的异位属性弱点→弱点克制区间期望值:
1.若技能只有武器伤害类型-被动的先手支援,则为1*0.4+1.1*0.6 = 1.06,破稳+1.2;
2.若技能只有异位属性类型-技能2,则为1*0.6+1.1*0.4 = 1.04,破稳+0.8;
3.若技能为无类型、属性的投掷类AOE-技能3,则为1,破稳+0.
4. 默认配件无套装属性,并且提供攻击数值21*8,攻击百分比3.2%*8,暴击4.25%*8,爆伤4.25%*2.
5. 下文中提到的技能1 = 普攻,技能2 = 悉心招待,技能3 = 方糖特饮,技能4 = 大招 = 午后茶歇。即按照键盘快捷键命名技能。
6. 下文中的人形与武器如无说明均为0椎与1阶。
7. 下文的计算结果均与文中设置的初始值与条件紧密相关,仅在本文语境下有效。
个人精力有限,可能对于人形某些部分的理解甚至常识存在严重的问题,如有错漏还请大家帮忙指出


3.5.1 桑朵莱希的一些判定机制被动相关:
1. 桑朵莱希有热态回复增益时,普通攻击、技能2、技能3治疗后的攻击 都算主动攻击(先手支援不算),攻击后 因为被动 可以给敌方上溢火减益两回合。
2. 在携带热态回复时,追加的额外10%生命上限的治疗量会在每次治疗时独立显示(向上取整)。
3. 被动应该是实时判定生效的,比如在没有热态回复时用技能2,这次攻击就吃不到被动20%的增伤以及给敌方上溢火,但攻击后给自己上了热态回复,之后治疗友方则会因为被动追加10%生命上限的额外治疗。
4. 开场赋予的热态回复可以触发金石奏和191紫武器的被动(后者摧锋在触发后就没有了,可能是bug或者开场的buff判定不算在第一回合里;但金石奏的积势会保留)
5. 先手支援攻击可以吃到金石奏的积势被动增伤。
技能2悉心招待相关:
1. 桑朵莱希使用技能2时,治疗的具体数值不锁攻击时的面板,比如科谢尼娅在桑朵莱希使用技能2前进行了先手支援,给桑朵莱希带来了火热攻势II的攻击力提高,这一部分的提高可以被攻击后的治疗吃到。
2. 热态回复最多只能叠加一层,比如开场后因为被动桑朵莱希携带了一层,使用技能2后又获得一层,但这时候去看只会看到一层热态回复。
3. 敌方若携带溢火减益,则在攻击后会治疗自身以外的最近的两个友方单位,不会治疗最近的友方单位两次,这个治疗应该没有距离限制。
4. 如果有两个友方和桑朵莱希的距离相等,大体是优先治疗血量低的友方。
技能3方糖特饮相关:
1. 平摊(1.5*攻击力的治疗)是真的平摊(无治疗提高增益时),不会因为某个角色满血或血很少就不加血或多加血。但每个人形被治疗后仍可以触发被动追加的额外10%生命的治疗量。
2. 该范围物理伤害照常可以触发大猫猫的支援攻击以及双重对策的套装效果。
大招午后茶歇相关:
1. 可以给全员上热态回复增益(包括自己),顺序为:1.全员回血,回血量都等于桑朵莱希攻击力 2.全员上热态回复 3.恢复稳态最小的友方单位最多7点稳态 4.被动带来的追加10%生命全员回血。
2. 如果有两个友方单位稳态相同(比如都是0),将要回复7点稳态的对象和开场放置的位置离桑朵莱希的远近有关,两位友方同稳态下 开场放置离桑朵莱希近的先回稳态。
3. 在2的基础上更进一步,如果在周本要塞伯爵那样开场位置全都相同的情况下,应该是优先回复自身以外距离桑朵莱希施放技能时最近的友方单位稳态7点。比如在周本全员已被破稳稳态0,此时桑朵莱希放大招,不会优先回复自己,而是优先回复离自己最近的友方单位。
4. 经过更多的测试发现以上两种为比较特殊的情况(存在一定误导),它们都可以容纳在更加一般的判定规则上(也许还不是最终版,可能有更一般的判定规则):
战斗开始时放置在不同初始位置上的人形有一个默认的行动顺序,大招会优先回复稳态最低者的稳态,如果有两位队友稳态最低且相同,那么会优先回复行动顺序靠前的人形。
有个例外,当上场的全是支援人形且稳态为10时,桑朵莱希大招会无视以上的行动顺序,优先给自己回复稳态。
可能还有更多的例外,碰到了再补。
固键5相关:
1. 主动治疗时驱散一个减益,若被治疗者有热态回复则驱散两个减益。
2. 技能2攻击后的治疗算主动治疗。
固键6相关:
主动治疗时,治疗对象如果有热态恢复则施加一个持续一回合的随机强力增益buff。
随机强力增益buff应该有14*2种:
实际上该固键可能随机到随机增益I,也会随机到随机增益II,II一般都是在I的基础上+10%(比如异位提升II是20%、防御提升II是30%;而攻击II是15%)或者一点(比如稳态攻势II的稳态伤害+2)
这里只测了十次左右,测到八九种增益,没有测出全部的14*2种,但懒得测了。
溢火相关:
1. 溢火的固定伤害是按照施加时或敌方行动结束时,施加者的攻击力实时计算的。比如攻击施加溢火时受到了桑朵莱希的先手支援(含椎体1),攻击力提高,那么此时的溢火伤害是在有火热攻势II的条件下计算的;而敌方单位行动结束后,施加者此时没有火热攻势II的增益了,那么此时溢火的伤害也是不会吃到之前施加时存在的火热攻势II的加成。
2. 溢火只能有一层,且具体的伤害与持续回合数与最后施加溢火的攻击相关。
比如桑朵莱希打了一下,给敌方上了两回合的溢火;之后科谢尼娅又打一下触发溢火(椎体1),敌方的溢火就只有一回合了,且之后造成的伤害也是以科谢尼娅为准。


3.5.2 桑朵莱希的词条分配建议
桑朵莱希满级攻击初始值为866,心智螺旋带来的初始攻击%为0.12+0.05=0.17;
生命初始值为2226,心智螺旋带来的初始生命%为0.12+0.05+0.05=0.22;
防御初始值为688,心智螺旋带来的初始防御%为0.12。
生命 vs 暴击爆伤
桑朵莱希的奶量主要和攻击挂钩,但她的被动10%生命上限的额外治疗也略微放大了生命词条的价值。所以来简单算一下把8个暴击词条、2个爆伤词条都换成生命能提高多少奶量。
桑朵莱希满级时的生命初始值为2226,心智螺旋带来的初始生命%为0.12+0.05+0.05=0.22,所以在11个生命相关词条以前都是生命%词条收益大于生命数值词条,所以将以上的暴击爆伤词条换成8个生命百分比词条与2个生命数值词条可最大化生命。

这里的nbsm指的是生命数值词条与生命百分比词条的总数,没保存文件删了,就不重写了。
生命:由初始的2226*1.22 = 2716 → (2226+45.5*2)*(1.22+0.032*8) = 3420,让被动带来的治疗提高了0.1*(3420-2716) = 71点。注意满级人形的初始生命大约在2200左右。但也不可忽视堆生命词条让血量上限提高了3420/2716-1 ≈ 26%
暴击爆伤:由初始的 1-0.2 + 0.2*1.2 = 1.04 → 1-(0.2+0.0425*8) + (0.2+0.0425*8)*(1.2+0.0425*2) = 1.1539,伤害期望提高了约11%。
具体的选择还是见仁见智。生命虽然让奶量提升低,但也许能让桑朵莱希多抗一次;暴击爆伤不太稳定。


词条分配:
使用女仆准则,且敌方防御力为1200时:
攻击%>攻击数值>暴击=爆伤


一个配件词条的单位是:
攻击数值:防御数值:生命数值:攻击百分比:防御百分比:生命百分比:暴击率百分比:爆伤百分比
=21:13:47.2:3.2:3.2:3.2:4.25:4.25


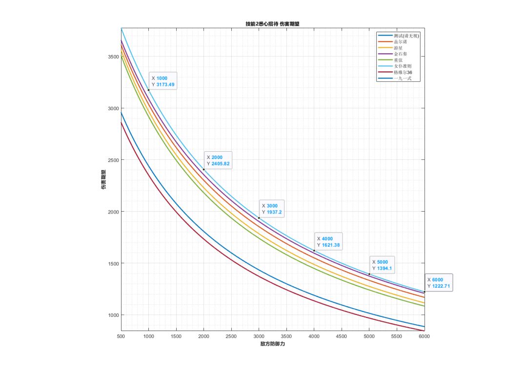
3.5.3 使用不同武器时各技能的治疗量与伤害期望
随机增益收益的粗劣估算与放置见附录。
在下方的计算中默认桑朵莱希携带热态回复,增伤20%。有额外10%生命的治疗,并在先手支援外的估计后施加溢火两回合(固定10%攻击的伤害)。
默认盖尔诺增伤增治疗量10%;游星增伤0%;金石奏增伤10%(对先手支援增伤20%);重弦增伤5%;女仆准则增伤增治疗量20%;格维尔36增伤增治疗量10%;一九一式增伤10%。
并算上附录提到的随机增益的提升。
注意女仆准则和格维尔36的特质:治疗队友时恢复自身2点稳态;女仆准则在主动治疗已被破稳(暴露)的队友时可以比较关键的给队友回2点稳态;女仆准则的增伤和增治疗需要自身满稳态才能生效、格维尔36的10%则需要对方生命值低于50%。
先放一下本文环境下携带不同武器时的攻击力,方便后面算治疗回复量,生命值为2716。
攻击力:盖尔诺2134,游星2011,金石奏2212,重弦1961,女仆准则2134,格维尔36 1803,一九一式1853
注:我方17位人形满级满固键无配件时的生命值大约在2300左右,最高的塞布丽娜为3225,最低的兔兔为1841.大多可以直接奶满血。
注:热态回复在挨打前恢复施加者攻击力30%的血量。


技能2(火属性单体精准+治疗+自身热态回复):
破稳期望(稳态伤害期望):6+0.8
治疗量:(盖尔诺2134*1.1,游星2011,金石奏2212,重弦1961,女仆准则2134*1.2,格维尔36 1803*1.1,一九一式1853)+272

技能3(无属性投掷类AOE+治疗):
破稳期望(稳态伤害期望):3+0
治疗量:1.5/被治疗人数*(盖尔诺2134*1.1,游星2011,金石奏2212,重弦1961,女仆准则2134*1.2,格维尔36 1803*1.1,一九一式1853)+272

大招(治疗+全体热态回复+单体回稳7):
治疗量:(盖尔诺2134*1.1,游星2011,金石奏2212,重弦1961,女仆准则2134*1.2,格维尔36 1803*1.1,一九一式1853)+272
破稳期望:0,解除逃避、眩晕
被动(先手支援):
破稳期望:3+1.2



3.5.4 桑朵莱希的简单讨论

固键相关:
固键1:开场满导染可以放大招,但一般情况下开场前两回合我方的血量和稳态都比较健康,而缺的3导染进行3次先手支援后即可补满(一般第二回合就满了)。
固键2:七格内队友稳态崩溃后将消耗自身的热态回复给队友上热态回复,可以一定程度上避免队友连续吃了多次敌方精准伤害后暴毙(如果被击退后又被打了,没掩体保护稳态就没用了);或者下回合不用花心思给该队友恢复稳态(虽然协击先手支援一次就可以了)。
固键3:驱散减益:热态回复多了 被攻击前驱散携带该增益者的两个减益。
注意有些减益会直接告诉你不可驱散,或者在被攻击时才驱散已经迟了(比如纵火者的狂热只要我方有燃烧类减益就加2格范围,甚至都不会打我们)。
但有时候这个驱散减益的时机是可以接受的,比如黑眼打算攻击已经有一层突刺的队友,队友如果有热态回复就能在攻击前把已有的这层突刺驱散,防止黑眼攻击后叠加到两层而被控制(待测试)。
仅自身还是全员的热态回复都有效,有待测试。
如果有些敌方的攻击在我方携带某个减益时会得到加强,但在它攻击前又因为这个固键被驱散了,这时候敌方的攻击是否仍然得到加强,有待测试。
固键4:加强技能3奶量:技能3治疗系数提高75%,生存压力很大可以用,虽然技能3要两个回合才能冷却完,覆盖率比较低。
这个治疗系数的提高猜测和武器被动的治疗效果提高是一个区间加算,有待测试。
固键5:驱散减益:主动治疗时驱散一个减益,若被治疗者有热态回复则驱散两个减益。
固键6:主动治疗时,治疗对象如果有热态恢复则施加一个持续一回合的随机强力增益buff。强力随机增益buff有哪些已在第一小节测试猜测。收益按照之前的算法大概是 1/28*(0.1 + 0.171+0.154 + 0.025 + 0.2 + 0.26 + 0.25 + 0.049) ≈ 0.0432.
共键:生命加成5%;行动结束时,为最近的一个没有热态回复的友方单位施加热态恢复,但冷却时间有两回合。这个友方应该是包括自己的吧?效果不太好评价,虽然从机制上来说是比较关键的可以给已经破稳的队友续命回稳的增益,但压力较大的时候不如直接上科谢尼娅或者桑朵莱希。
感觉更偏向于帮助桑朵莱希提高全员热态回复的覆盖率,好联动固键6这一类的增益;或者给科谢尼娅带保护携带的燃烧类增益让破稳能力加强。


导染的消耗与恢复:导染只用于大招的施放(消耗6点);导染只靠被动恢复:每造成一次先手支援导染+1(由友方精准伤害触发),一回合最多两次。
技能的冷却:技能2需要冷却一回合;技能3需要冷却两回合。
技能组的简单分析:
桑朵莱希的一大特点是无处不在的热态回复,桑朵莱希拥有热态回复时可以增伤20%;在主动攻击后给敌方施加两回合的溢火;治疗时额外治疗10%生命上限。
先来看一下有哪些方式可以获得热态回复(不考虑共键冷却为2回合的一次施加):
自身获得热态回复的途径:1. 战斗开始自动携带;2. 技能2攻击后施加;3. 大招施加。
给友方热态回复的途径:1. 大招施加;2. 每回合两次的先手支援攻击点名施加。
再来看一下攻击溢火目标时对技能2、3的加强:1. 技能2可以额外治疗一个队友;2. 技能3可以额外驱散敌方两个增益(注意热态回复被打前也能随机驱散一个)。


最后放在一起综合来看:
先看技能2:战斗开始,桑朵莱希有热态回复,此时全员血量健康不需要治疗,一般会倾向于拿技能2先进行破稳(浪费了比较关键的自身热态回复的恢复),攻击后给敌方施加了两回合的溢火。但需要注意技能2的冷却为一回合,在友方没有给敌方上溢火或者第二回合用技能3或普攻给敌方续溢火buff时,到第三回合敌方已经没有溢火了,所以此时再用技能2也只能治疗一个队友(虽然第三回合不一定有很大的生存压力)。
如果敌方有中型弹弱点的话,开场用普攻给敌方上溢火也不失为一种选择,技能2可以留着等自己被打了再用,保证自己热态回复的覆盖率,当溢火工具人。
再看大招:大招可以给全员上热态回复并提供大量回血(基本全员都能回满),解除逃避眩晕,为稳态最低方回7点稳态,驱散2个减益。从各个维度为队友提供了生存的保障。(搭配固键6甚至能上随机强力buff)。
大招需要6点导染,开场不带固键1的话至少需要等到第二回合打过了3次先手支援才能够导染。
六点导染看起来挺多,在第x个回合开大招→再在该回合进行两次支援攻击→在第x+1回合进行两次支援攻击→在第x+2回合先进行两次支援攻击→在第x+2回合满导染,可以放大招。代价就是对桑朵莱希在队内的行动顺序有一定要求,一次靠前一次靠后。安排好的话可以不用对放大招很吝啬。
技能3:感觉更适合于还未成型的原地固守队伍。不能上热态回复,如果想要攻击敌方的话需要让队友接近敌方或者等敌方攻过来(因为是范围物理伤害容易联想起不爱动的大猫猫),不攻击敌方的话就只是单纯的回血技能,大概够两个队友站一起回满血。(随便放放技能,让摸鱼不明显一点)→莱娜的出现让固守队有了一定的可能。


个人小结:桑朵莱希的优势在于对稳态的充分保护(大量的热态回复)+充沛的全图回血+溢火工具人+驱散增益减益与解控+一定的输出能力。
我自己用下来感觉常陷入几个误区:
1. 不关注桑朵莱希有没有携带热态回复-这样容易当不成溢火工具人。
2. 老想着快点破稳快点输出-在需要技能2或大招给自己回热态回复时总是在冷却或者不舍得用(其实也不用纠结过头,boss机制一般比较明了,容易规划由谁挨打,不挨打放心用技能2,而且还有大招也能补热态回复)
3. 想输出时在技能2冷却的时候不知道做什么,觉得总不能放大招或者技能3吧,接受普攻。
4. 不舍得放大招,怕这次保了命下次就保不住了。
桑朵莱希的缺点在于作为支援人形却没有奇塔或者科谢尼娅那种明显的输出向增益→在椎体I。


最后简单的看一下各个椎体:

椎体1:类似于科谢尼娅的支援,虽然多了伤害提升II的同时少了一回合的持续时间。收益很高,我方攻击/敌方防御 = 1/2时 对伤害的提升在50%左右。
但需要注意只有一回合,并且同类型增益会覆盖且异位类增益减益比较高贵,比如和托洛洛的固键3效果完全重叠了;也需要注意需要由精准伤害触发,比如琼玖开大招就总是吃不到这些增益;可以让队友伏击时先手支援让buff的持续时间长一回合。
椎体2:加强了被动,增伤提高了20%或30%;奶量也提高了,但感觉奶量一般会溢出。
椎体3:妈妈再也不用担心我身上没有热态回复 被动不生效了。
椎体4:能解的控更多了。
椎体5:奶量还在溢出。
椎体6:可以直接保两个队友的命了。(直接回8点稳态有些人形都回满了)


3.5.5 吐槽
个人精力有限,可能对于人形某些部分的理解甚至常识存在严重的问题,如果有错漏还请大家帮忙指出。
随机增益算得粗糙,之后有空再补。
写完了总感觉很多地方前言不搭后语。



附录:随机增益收益的粗劣估算与放置
突击步枪特质中的随机增益为计算带来了巨大的麻烦,这里仅对这些随机增益的收益在特定情况下做一个粗劣的计算,并将收益计算的结果放入buff区间去稀释。
对伤害有提升的随机增益为:精准提升I、覆盖提升I、异位提升I、攻击提升I、穿透I、领域穿透I、暴击提升I。
假设各个buff区间的初始值为1(实际上下文的计算都会默认被动生效,起码有1.2)→精准提升I、覆盖提升I、异位提升I的收益为0.1.
假设 我方攻击/敌方防御 = 1/2 → 攻击提升I的收益约为0.171;穿透I、领域穿透I的收益约为0.154.
按照设置的配件8882且不携带爆伤武器来计算暴击提升I的收益,约为0.025.
假设随机增益为真的平均随机,每个增益被随机到的概率为1/14,那么获得一个随机增益的收益期望粗略计算为:
1.仅为单体精准攻击、无异位属性-被动的先手支援:1/14*(0.1 + 0.171+0.154 + 0.025 + 10个0) ≈ 0.032
2.单体精准+异位属性的攻击-技能2:1/14*(0.1+0.1 + 0.171+0.154 + 0.025 + 9个0) = 0.039
3.仅为范围攻击、无异位属性-技能3:同情况1.
4.范围+异位属性攻击:同情况2.
对于游星特质的随机攻击类增益,因为我没游星所以没法测哪些算攻击类增益,姑且认为是以上提到的这7种+稳态攻势,这样收益就是以上计算结果*(14/8),也就是0.056与0.069.
最后把上述的粗劣结果再不太合适的放入buff区间进行后续的计算。
因为不同武器赋予人形随机增益的时机不同,所以在后续计算中默认行动开始时赋予(比如盖尔诺)的随机增益可以被主动技能吃到,但开始后赋予(比如金石奏)的不能吃到;但默认先手支援都可以吃到随机增益。



