典章国制全部官职作用及其加成
修改于04/124008 浏览攻略区
下面将列举出现阶段所有官职作用以及最大加成;
首先是各个阶段对于的流派系数以及心性系数,通过下图可判断各个流派人才对应能力最大值为多少。

流派系数、心性系数
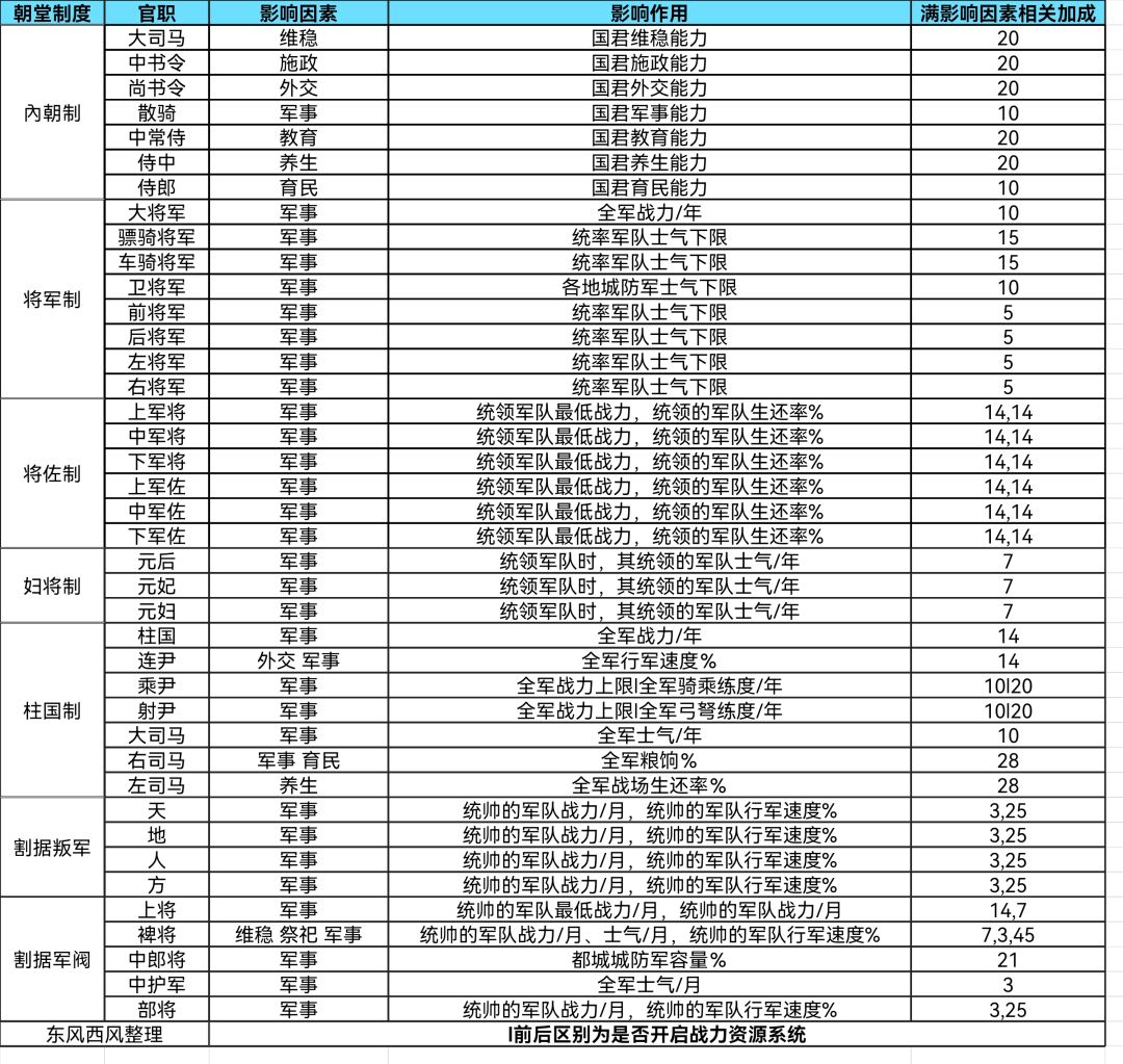
其次便是朝堂官职的,下图包括当前版本所有朝堂官职的作用及其最大加成,如图所示:

朝堂官职作用及其最大加成

将军内朝官职作用及其最大加成
通过参考上图可判断各个官职放置朝臣的优先度,优先任用高属性朝臣担任重要官职。
其次是地方官职的,下图包括当前版本所有地方官职的作用及其最大加成,如下图所示:

地方官职作用及其最大加成
当玩家开启阶段系统后,进入国族阶段时,将解锁宫廷制度,包括近侍、后妃相关的官职,下图列出宫廷制度的作用及其最大加成:

宫廷制度作用及其最大加成
如有疑问,可在评论区进行留言,需要详细阐述的,可以提醒我,我在本帖慢慢补上去。


